問 題
86 歳女性。高血圧症と 2 型糖尿病。フレイルによる通院困難のため、多職種の訪問による自宅でのケアと処方 1 による薬物治療を受けていた。訪問医から病院の循環器科での検査入院を勧められ、心房細動の診断を受け、ワルファリンカリウムによる治療が開始された。
退院後、娘が以下の処方箋を持って薬局を訪れた。

患者は独居だが、近所に住む娘が食事や服薬の管理をしており、今後の在宅療養に合わせて再度アドバイスして欲しいと依頼があった。
問210
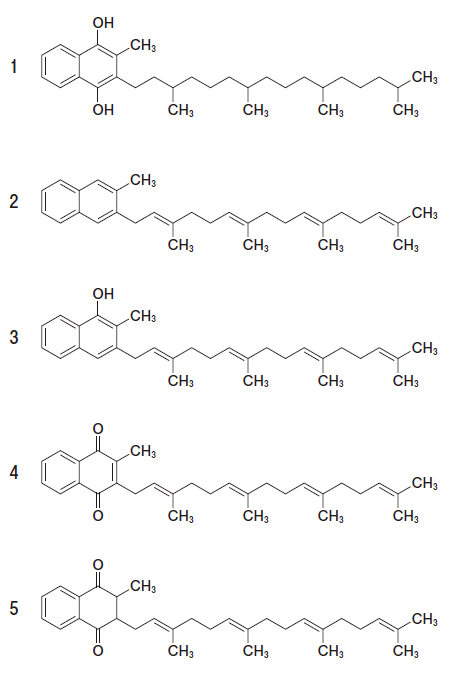
処方 2 に含まれる薬物は、下図のように、還元酵素 A を阻害することで、血液凝固系が機能するために必須な補酵素 イ が化合物 ア から生成されるのを抑制する。

化合物アの構造として適切なのはどれか。1 つ選べ。

問211
処方 2 の薬剤に関連したアドバイスとして、最も適切なのはどれか。1 つ選べ。
- 健康のため、青汁やクロレラなどを多めに摂取しましょう。
- チーズの摂取は避けてください。
- 便の色が黒くなったらすぐに医師や薬剤師に連絡してください。
- 骨を丈夫にすると言われるビタミン K のサプリメントを、積極的に摂取しましょう。
- ナットウキナーゼは血栓を溶かすと言われるので、納豆を食べましょう。
問210:4
問211:3
解 説
問210
処方 2 がワルファリンなので、ビタミン K 関連分子と推測できます。そして、ビタミン K の構造の特徴は p – キノンです。従って、選択肢 の構造の 左側環状構造に注目すれば選択肢 4 が妥当です。
以上より、問 210 の正解は 4 です。
参考 三大栄養素、ビタミン、ミネラル
https://yaku-tik.com/yakugaku/es-1-1-1/
問211
選択肢 1,4,5 ですが
血液をさらさらにするワルファリン投与時における、納豆やクロレラ食に伴う ビタミン K 過剰摂取で薬効減弱 という流れが基礎知識です。「青汁やクロレラなどを多めに摂取」「ビタミン K のサプリメントを、積極的に摂取」「納豆を食べましょう」というアドバイスはどれも不適切です。選択肢 1,4,5 は誤りです。
選択肢 2 ですが
代表的なチーズ摂取を避けるべき薬は MAO 阻害薬です。そして、ワルファリン投与時は特にチーズ摂取を避ける必要はありません。選択肢 2 は誤りです。
選択肢 3 は妥当です。
出血傾向促進に伴う消化管出血等が疑われます。
以上より、問 211 の正解は 3 です。
類題 106-124125126
https://yaku-tik.com/yakugaku/106-124/

コメント