問 題
31 歳女性。1 ケ月前に粘血便、下痢が出現したため近所の消化器内科を受診し、大腸内視鏡検査により全大腸炎型潰瘍性大腸炎と診断された。医師との面談で、患者が安価な治療を望んだため、処方 1 による治療が開始され症状は改善した。
その後、病状が安定していたが、たびたびめまいや頭痛が生じたとの訴えがあったため、医師は処方 1 を処方 2 へ変更し、患者が処方 2 の処方箋を持って薬局を訪れた。

問212
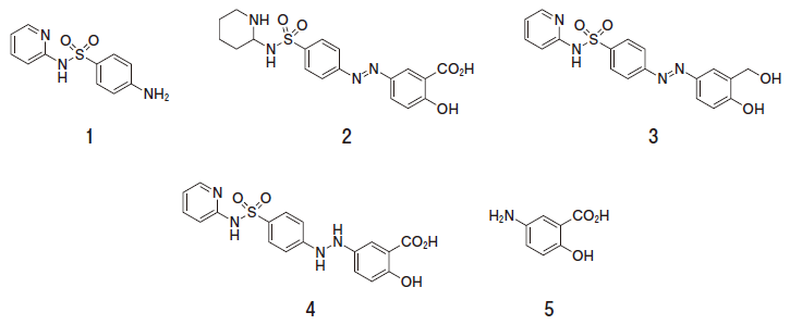
処方 1 の薬物は、大腸へ到達後、下図のように、腸内細菌により代謝 (還元) されて効果を示す。

全大腸炎型潰瘍性大腸炎に有効な主たる活性成分の構造はどれか。1 つ選べ。

問213
薬剤師が、処方 2 の薬剤の服用及び注意事項について患者に説明する内容として、適切なのはどれか。2 つ選べ。
- 錠剤が大きくて飲みにくい場合は、粉砕し水や微温湯に懸濁して服用してもよいこと。
- 糞便中に白いものがみられる可能性があること。
- グレープフルーツジュースの飲用は避けること。
- 症状が改善しても、再燃しないように服薬を継続する必要があること。
- 処方 2 の薬剤の服用中は、大腸がん検査を避けること。
問212:5
問213:2, 4
解 説
問212
サラゾスルファピリジンは、腸内細菌により 5 – アミノサリチル酸に変換されます。これは基礎知識です。本問は「5 – アミノサリチル酸」の構造を選べという問題です。
サリチル酸の構造は、フェノールの OH 基の隣に COOH がついたものです。カルボキシル基がついている 炭素が 1 位です。OH 基がついている炭素が 2 位です。OH 基から見て p 位に NH2 があればよいです。
以上より、問 212 の正解は 5 です。
問213
選択肢 1 ですが
問題リード文中の処方 2 (注) にあるように、放出調整のためコーティングされている錠剤なので、粉砕してはいけません。選択肢 1 は誤りです。
選択肢 2 は妥当です。
ゴーストピルと呼ばれます。
選択肢 3 ですが
グレープフルーツジュースは CYP 3A4 を不可逆的に阻害します。そのため、CYP 3A4 で代謝される薬との併用を避けますが、メサラジンは特に問題ありません。選択肢 3 は誤りです。
選択肢 4 は妥当です。
症状がない寛解期でも服薬遵守することで、再燃予防します。
選択肢 5 ですが
定期的な大腸がん検査が推奨されます。選択肢 5 は誤りです。
以上より、問 213 の正解は 2,4 です。

コメント