問 題
84 歳男性。息子と二人暮らし。長年、近隣のクリニックで高血圧症と頻脈、アレルギー性鼻炎のため、処方 1 による薬物治療を受けていた。

1 年前の受診で、もの忘れが多く、その日の曜日が分からなくなることがたまにあり、付き添いの息子が処方医に相談したところ、神経内科の専門医を紹介され、そこで認知症と診断された。
リバスチグミンテープ 4.5 mg で治療を開始し、漸増の後、現在は処方 1 とともに処方 2 の薬剤の使用を継続している。

今回来局した息子から、「医師には言い忘れたが、最近、服薬時や飲食・飲水時に、むせの頻度が以前より高くなったので、誤嚥性肺炎になることを心配している」との相談があった。
問208
息子の相談に対するアドバイスとして、以下のうち適切なのはどれか。2 つ選べ。
- 誤嚥性肺炎の原因になるため、歯磨きは控えてください。
- 脱水時の水分補給には、経口補水液のゼリータイプをお勧めします。
- 処方 1 の薬剤を 55 ℃ 程度のお湯に崩壊・懸濁させ、とろみをつけて服用させてください。
- むせたときは、息子さんの判断で、以降は処方 1 の薬剤の服用を中止してください。
- 処方 2 の薬剤を内服薬のドネペジル塩酸塩錠に変更するように医師に提案できます。
問209
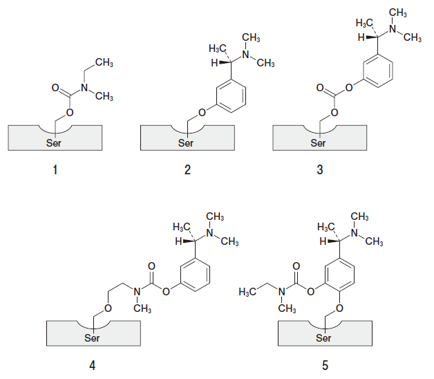
処方 2 に含まれる薬物は、下図のように、アセチルコリンエステラーゼの活性中心のセリン残基と反応し、共有結合中間体を形成する。

共有結合中間体の構造として、正しいのはどれか。1 つ選べ。

問208:2, 3
問209:1
解 説
問208
選択肢 1 ですが
歯磨きを控える → 口腔内環境悪化 → 誤嚥の際、肺炎の原因菌が増殖しやすくなる という流れが推測されます。「歯磨きは控えてください」というアドバイスは不適切です。選択肢 1 は誤りです。
選択肢 2,3 は妥当です。
ゼリータイプやとろみをつけることにより、誤嚥防止が期待できます。
選択肢 4 ですが
勝手に処方薬を中止させるべきではありません。選択肢 4 は誤りです。
選択肢 5 ですが
誤嚥性肺炎を心配している息子に対して「テープを錠剤に変更するよう提案できる」というのは意味がわかりません。不適切です。選択肢 5 は誤りです。
以上より、問 208 の正解は 2,3 です。
問209
薬物の カルボニル基 (C = O) に、活性中心のセリン残基 OH の O がアタックする付加脱離機構による求核置換反応が進行すると考えられます。脱離するのは カルボニル基の右に伸びている -OR 部分です。従って、共有結合中間体の構造は 1 です。
以上より、問 209 の正解は 1 です。
参考 酸塩化物・酸無水物・エステルの反応
https://yaku-tik.com/yakugaku/yk-3-6-3/

コメント