問 題
38 歳女性。アレルギー性鼻炎で近医を受診し、処方 1 による治療を受けていた。しかし、薬剤師は処方 1 の薬剤の供給が不安定になったとの情報を得たため、医師と他剤への変更を検討し、処方 1 は処方 2 へ変更された。
なお、処方 1 の薬剤と処方 2 の薬剤は、添加剤が同じものを調剤した。

問198
変更後の処方 2 に関して薬剤師が患者に行う説明として、適切なのはどれか。2 つ選べ。
- 処方 2 の薬剤は、処方 1 の薬剤と同じように服用してください。
- 処方 2 の薬剤は、処方 1 の薬剤と効果が同等です。
- 処方 2 の薬剤は、処方 1 の薬剤より副作用が軽くなります。
- 処方 1 の薬剤の供給が安定すれば、医師の同意がなくても処方 1 に戻せます。
- 飲合せに注意する薬が処方 1 の薬剤と異なりますので、今後別の薬を服用する場合は、相談してください。
問199
セチリジン塩酸塩はその R – エナンチオマーと S – エナンチオマーのラセミ体で、旋光性は示さない。一方、レボセチリジン塩酸塩は R – エナンチオマーであり、旋光性を示し、比旋光度
=+10.80°である。
いま、レボセチリジン塩酸塩を含む原末 1.00 gを量り、水に溶かして全量 200 mL とし、層長 100 mm の測定管を用いて温度 25 ℃ で旋光度 αD を測定したところ、+0.052° であった。
この原末中のレボセチリジン塩酸塩の含量に最も近いのはどれか。1 つ選べ。
ただし、原末中には R – エナンチオマー以外に旋光性を示す物質は含まないものとする。
- 92.2 %
- 94.1 %
- 96.3 %
- 98.4 %
- 100.7 %
問198:1, 2
問199:3
解 説
問198
選択肢 1 は妥当です。
10mg → 5mg となっているため、自己判断で 2 錠飲むといったことがないように説明することが適切です。
選択肢 2 は妥当です。
処方 2 は、処方 1 における治療上の活性本体を光学分割したものです。
選択肢 3 ですが
処方 1,2 に関して、副作用に大きな差はないとされています。「処方 1 の薬剤より副作用が軽くなります」という説明は不適切です。選択肢 3 は誤りです。
選択肢 4 ですが
医師の同意は必要です。選択肢 4 は誤りです。
選択肢 5 ですが
飲合わせに注意する薬剤は、処方 1,2 に違いありません。選択肢 5 は誤りです。
以上より、問 198 の正解は 1,2 です。
問199
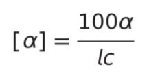
比旋光度と、実測した旋光度をつなぐ関係は以下の通りです。これは基礎知識です。

[α]:比旋光度
α:旋光度(実測)[°]
l:試料セルの長さ[mm]
c:溶液の濃度[g/mL]
α = + 0.052 , l = 100 , c = 1/200 を代入すると
[α] = +0.052/(1/200) = 200 × 0.052 = 10.4 です。
原末のうち 100% レボセチリジンであれば
[α] = +10.80 なので
10.40/10.80 ≒ 96.3% が
原末中のレボセチリジンの含量です。
以上より、正解は 3 です。
類題 100-100
https://yaku-tik.com/yakugaku/100-100/
参考 旋光度測定と比旋光度
https://yaku-tik.com/yakugaku/yk-4-6-1/

コメント