問 題
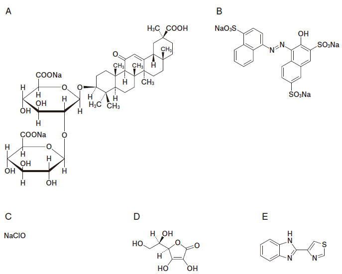
食品添加物 A ~ E に関する記述として正しいのはどれか。2 つ選べ。

- A は、食品に甘味を与える目的で使用される指定添加物である。
- B は、鮮魚介類や食肉、野菜類の色調を調節する目的で使用される。
- C は、食品を漂白する目的で使用され、殺菌料としても用いられる。
- D は、金属イオンと錯体を形成することによって、油脂などの酸化を防ぐ目的で使用される。
- E は、カビや細菌などの発育を抑制し、保存性を高める目的で乳製品などの食品に添加して使用される。
正解.1, 3
解 説
選択肢 1 は妥当です。
A はグリチルリチン酸二ナトリウムです。甘味料として使用されます。
選択肢 2 ですが
真ん中の アゾ基 (N=N) が特徴的です。着色料に用いられる食品添加物と判断できればよいです。着色料は食品本来の色以外も付けることができます。鮮度誤認を避けるため、鮮魚や肉、野菜などには使用されません。選択肢 2 は誤りです。
選択肢 3 は妥当です。
C は次亜塩素酸ナトリウムです。
選択肢 4 ですが
D はビタミン C の立体異性体である エリソルビン酸です。還元剤タイプの酸化防止剤であり、錯体を形成するキレート型の酸化防止剤ではありません。選択肢 4 は誤りです。
選択肢 5 ですが
E は、代表的な防カビ剤であるチアベンダゾールです。カビは主に固体表面に付着するため、防カビ剤は柑橘類、果物類といった固体に用いられます。乳製品などに添加するものではないと考えられます。選択肢 5 は誤りです。
以上より、正解は 1,3 です。
参考 代表的な食品添加物
https://yaku-tik.com/yakugaku/es-1-2-6/

コメント