問 題
ナイアシンに関する以下の問いに答えよ。
問120
ナイアシンに関する記述として正しいのはどれか。2 つ選べ。
- 妊娠中にナイアシンが欠乏すると、胎児に神経管閉鎖障害が起こる。
- ナイアシンが欠乏すると、皮膚炎や下痢、中枢神経症状が現れる。
- ナイアシンの一種であるニコチン酸には「日本人の食事摂取基準 (2020 年版)」で耐容上限量が設定されていない。
- トウモロコシを主食とする地域では、ナイアシンの欠乏症に注意する必要がある。
- ナイアシンが過剰になると、頭蓋内圧の亢進が起こる。
問121
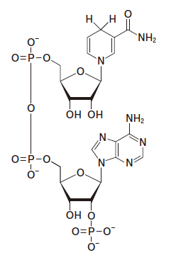
ナイアシンから合成される下図の補酵素について、正しいのはどれか。2 つ選べ。

- 酸化型の構造を示している。
- 340 nm の吸収極大を有する。
- 3 – ヒドロキシ – 3 – メチルグルタリル CoA (HMG – CoA) からメバロン酸を産生する反応に関与する。
- ピルビン酸からアセチル CoA を産生する反応に関与する。
- ミトコンドリア内膜上での電子の受け渡しに関与する。
問120:2, 4
問121:2, 3
解 説
問120
選択肢 1 ですが
妊娠初期における「葉酸」欠乏は、胎児の神経管閉鎖障害の原因となります。「ナイアシン」ではありません。選択肢 1 は誤りです。
選択肢 2 は妥当です。
ナイアシンの欠乏症に関する記述です。
選択肢 3 ですが
ナイアシンの一種であるニコチン酸には、耐容上限量が設定されています。選択肢 3 は誤りです。
選択肢 4 は妥当です。
トウモロコシを主食とする地域では、ナイアシン欠乏症 (ペラグラ) が起きるリスクがあります。
選択肢 5 ですが
ナイアシン過剰で起きるのは「ナイアシンフラッシュ」と呼ばれる、顔が赤くなる、かゆみ、下痢、嘔吐、消化管不調などの症状です。「頭蓋内圧の亢進」ではないと考えられます。選択肢 5 は誤りです。
以上より、問 120 の正解は 2,4 です。
問121
ナイアシンは、NAD+ 、NADH や、NADP+ 、NADPH の構成成分です。与えられた補酵素は NADPH です。ちなみにですが、下の糖についている リン酸基がなければ、NADH です。
選択肢 1 ですが
右上部分の ニコチン酸部分の N に正電荷がありません。従って H を受け取っており「還元型」です。「酸化型」ではありません。選択肢 1 は誤りです。
選択肢 2 は妥当です。
NADH、NADPH は共に 340 nm の吸収極大をとります。ちなみに、酸化型の NAD+、NADP+ は 260 nm 付近に吸収極大を持ちます。
選択肢 3 は妥当です。
NADPH はコレステロールの生合成や、脂肪酸の生合成に関与します。
選択肢 4 ですが
ピルビン酸からアセチル CoA が産生されるクエン酸回路では、生成されるものが NADH です。投入されるのが 補酵素である NAD+ です。従って、記述は NAD+ についてです。NADPH に関するものではありません。選択肢 4 は誤りです。
選択肢 5 ですが
電子伝達系では、クエン酸回路で生成された NADH が電子を受け渡す役割を担います。従って、記述は NADH についてです。NADPH に関するものではありません。選択肢 5 は誤りです。
以上より、問 121 の正解は 2,3 です。

コメント