問 題
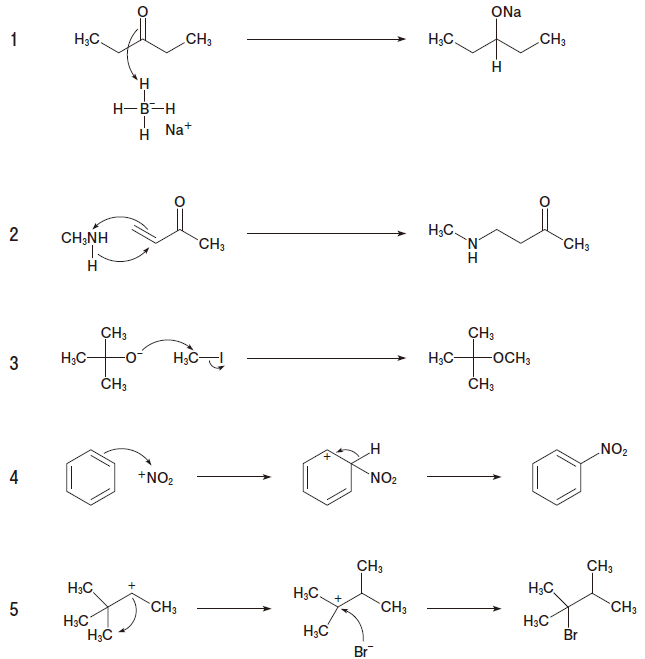
以下の反応で、生成物を与える電子移動を示す一連の矢印が正しいのはどれか。2 つ選べ。

正解.3, 4
解 説
選択肢 1 ですが
水素化ホウ素ナトリウム (NaBH4) によるヒドリド還元なので、ヒドリドイオン (H-) が C=O の炭素に攻撃します。選択肢 1 は誤りです。
選択肢 2 ですが
α,β 不飽和カルボニルへの共役付加反応なので、窒素原子上の孤立電子対が β 炭素に攻撃します。選択肢 2 は誤りです。
選択肢 3 は妥当です。
SN2 反応です。
選択肢 4 は妥当です。
求電子置換反応です。
選択肢 5 ですが
電子の移動なので、矢印の先が正電荷でなければ向きがおかしいです。また、矢印の始点は炭素原子からではなく、結合を示す線の部分からが妥当です。選択肢 5 は誤りです。
以上より、正解は 3,4 です。

コメント