問 題
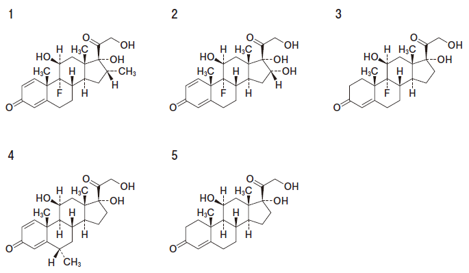
鉱質コルチコイド作用が弱く、糖質コルチコイド作用が最も強いステロイド性抗炎症薬はどれか。1 つ選べ。

正解.1
解 説
「A 環 (左下の環) に二重結合2個 → 糖質コルチコイド作用増強、鉱質コルチコイド作用減弱」という関係が知られています。選択肢 1,2,4 が該当します。選択肢 3,5 は誤りと考えられます。
「B 環に F 導入 → 糖質、鉱質コルチコイド作用共に増強」という関係が知られています。糖質コルチコイドが最も強いという条件なので、該当する 選択肢 1,2 が正解の候補です。選択肢 4 は誤りです。
「16 位がメチル化 → 鉱質コルチコイド作用減弱」です。鉱質コルチコイド作用が弱い方がよいので、選択肢 1 がより妥当と考えられます。
以上より、正解は 1 です。
類題 105-159
https://yaku-tik.com/yakugaku/105-159/

コメント