問 題
水素を空気比1.1で完全燃焼している。熱効率を向上させるため、空気から酸素富化空気に変更することにより、湿り燃焼排ガス量を10%低減したい。酸素富化空気での空気比も1.1とするとき、酸素富化空気のO2濃度を何%にしたらよいか。
- 23.8
- 24.2
- 24.6
- 25.0
- 25.4
解 説
まず、水素の燃焼は以下の化学反応式で示すことができます。
![]()
ここで、空気中の成分のうち酸素の割合は21%なので、空気を化学式で表すとすると「O2+3.76N2」となります(3.76は、窒素79%と酸素21%の比である79/21です)。
また、空気比は1.1なので、上記の化学反応式は次のように書き換えることができます。
![]()
上式の右辺を見ると、燃焼後の排ガス量がわかりますが、今回は「湿り燃焼排ガス」について考えるため、H2Oもカウントする点に注意してください。つまり、湿り燃焼排ガス量n[mol]は次の(1)式のように計算できます。

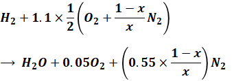
続いて、酸素富化空気に変更した後について考えていきます。
このときもO2の割合を仮にxとすると、N2の割合は(1-x)となります。すると、N2のモル数はO2のモル数の(1-x)/x倍存在するため、この場合の化学反応式は次のように表すことができます。

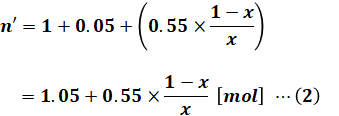
ここでも先ほどと同じように上式の右辺を見ると、湿り燃焼排ガス量n'[mol]がわかります。つまり、次に示す(2)式のようになります。

以上の(1)式と(2)式から、それぞれ普通の空気と酸素富化空気を使ったときの湿り燃焼排ガス量n、n’がわかりました。これを比較したら、変更後には10%低減できたということなので、(1)式と(2)式を使って次のように計算することで、xの値を求めることができます。

以上から、酸素富化空気のO2濃度は0.238、つまり23.8%となります。
よって、正解は(1)です。

コメント