問 題
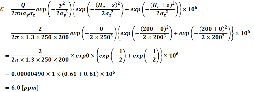
有効煙突高さHe=200m、排出量Q=2m3/sの煙源がある。風下方向にx軸、横風方向にy軸、高さ方向にz軸をとった場合、濃度C(ppm)は以下の正規形プルーム拡散式で与えられる。
風速u=1.3m/s、水平方向拡散幅σy=250m、鉛直方向拡散幅σz=200mのとき、煙流中心軸直下の地上濃度C(ppm)はおよそいくらか。

ただし、πは円周率、exp(-1/2)=0.61とする。
- 0.06
- 0.3
- 6
- 30
- 600
正解 (3)
解 説
この問題ではすでに式と数値が与えられているので、式に数値を代入してどんどん計算していけば答えが出ます。
また、問題文にはyやzの値が載っていませんが、問われているのが「煙流中心軸直下の地上濃度C」であり、煙突直下の地表が座標における原点になるので、y=0かつz=0です。

以上から、正解は(3)となります。

コメント