問 題
排ガスの流速をピトー管で計測した際、動圧の測定値が46Paのときの排ガス流速は9.4m/sであった。別の測定点において、このピトー管を用いて動圧を測定したところ、60Paであった。
このときの排ガスの流速(m/s)はおよそいくらか。なお、排ガスの密度は変化しないものとする。
- 7.2
- 8.2
- 10.7
- 12.3
- 16.0
解 説
ピトー管を使ってガス流速を求める際には、以下の式を使います。この問題ではまさにガス流速が問われていますが、ピトー管を使った計算問題が出題されたら、とりあえずこの式を思い出してください。

- v:管内のガス流速 [m/s]
- C:ピトー管係数
- Pd:ダクトを流れるガスの動圧 [Pa]
- ρ:ダクトを流れるガスの密度 [kg/m3]
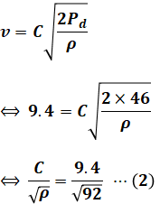
ここで、最初の測定点では動圧が46Pa、流速が9.4m/sなので、(1)式に代入して未知数を整理すると次の(2)式のようになります。

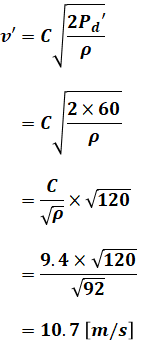
続いて、別の測定点では、Cやρは変わらず、動圧が60Paとなっています。そのため、このときのガス流速v’は次のように計算することができます。

よって、正解は(3)です。

コメント