問 題
ダスト層の圧力損失がコゼニー・カルマンの式で表せる場合、ダスト負荷が同等の条件でダストの空隙率が0.8から0.9に変化したときの圧力損失はおよそ何倍になるか。
- 0.18
- 0.35
- 0.56
- 2.9
- 5.5
正解 (2)
解 説
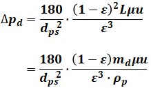
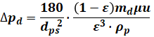
コゼニー・カルマンの式とは、ダスト層の圧力損失を表す式で、以下の通りです。この式はやや複雑ですが、頻出かつこの式を正確に書ければ簡単に得点できる場合が多いので、公式として正確に覚えておきたいところです。

- Δpd:ダスト層の圧力損失
- L:ダスト層厚
- μ:ガスの粘度
- u:ガスの流速
- dps:ダストの比表面積径
- ε:ダスト層の空隙率
- md:ダスト負荷
- ρp:ダストの密度
本問では、ダスト負荷が変わらずに空隙率が0.8から0.9に変化するので、ダスト負荷mdを含むほうの式を使うと、変更前後の圧力損失の比は次のように計算できます。


よって、正解は(2)となります。

コメント