問 題
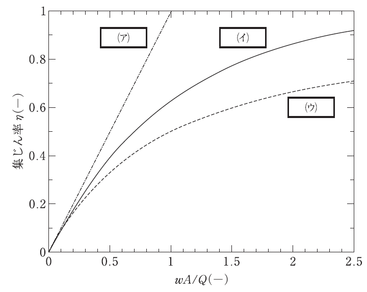
図は、流通形式集じん装置内の流動状態が異なる場合について、その集じん率ηとwA/Qの関係を装置内の流動状態ごとに示している。ア~ウの( )の中に挿入すべき語句の組合せとして、正しいものはどれか。
ただし、w:粒子の分離速度、A:装置の全集じん面積、Q:処理ガス流量、とする。
- 気流が層流
- 気流が乱流で、流れ方向断面においてダスト濃度が均一
- 気流が乱流で、装置内すべてにおいてダスト濃度が均一

- ア イ ウ
- A B C
- A C B
- B C A
- C A B
- C B A
解 説
A、B、Cを見ると、BとCが乱流であるのに対してAは層流です。層流は気流が比較的規則正しく安定しているため、不確定要素が少なく、集じんするには都合のよい気流であるといえます。
この場合、最も粒子の分離速度wや全集じん面積Aに比例して集じん率が上がり、処理ガス流量Qを多くするとそれに反比例して集じん率が下がるという、わかりやすい対応が見られます。よって、(ア)がAに対応します。
続いて、乱流の中でもBとCのどちらが効率よく集じんできるかについて考えます。…といっても難しい話ではありません。BとCで乱れが弱いほうが層流に近い(イ)となり、乱れが強いと(ウ)のようになるという話です。
まずBのほうから考えると、流れ方向断面においてダスト濃度が均一ということは、進行方向に沿っては濃度が変わるということです(断面は均一でも、ある断面と別の断面には濃度差があります)。
要するに、集じん装置の入口の近くではダスト濃度が濃く、中央あたりでは集じんによってダスト濃度がやや下がり、集じん装置の出口近くではさらに濃度が低いということです。
このように、集じん装置内できちんとダスト濃度に差が出るというのは、乱流とはいえ気流がそこまで乱れていない証拠です。よって、Bは、層流の線を示す(ア)に近い側である(イ)に該当します。
残るCは、装置内すべてにおいてダスト濃度が均一とのことですが、これは気流の乱れ具合が大きすぎて、集じん装置内をダストがあちこち飛び回っているのをイメージしてください。
この場合、集じん装置の出口に近いほうでも比較的高濃度のダストが存在していることになるので、集じん率は悪くなります。よって、Cと(ウ)が対応します。
以上から、
- ア:A
- イ:B
- ウ:C
となるので、正解は(1)です。

コメント