問 題
図の交流回路において、回路素子は、インダクタンスLのコイル又は静電容量Cのコンデンサである。この回路に正弦波交流電圧v=500sin(1000t)[V]を加えたとき、回路に流れる電流は、i=-50cos(1000t)[A]であった。
このとき、次の(a)及び(b)の問に答えよ。

(a) 回路素子の値として、最も近いものを次の(1)~(5)のうちから一つ選べ。
- C=10nF
- C=100nF
- C=10μF
- L=10mH
- L=100mH
(b) この回路素子に蓄えられるエネルギーの最大値Wmaxの値[J]として、最も近いものを次の(1)~(5)のうちから一つ選べ。
ただし、インダクタンスの場合には1/2 Li2の、静電容量の場合には1/2 Cv2のエネルギーが蓄えられるものとする。
- 2.5
- 6.25
- 12.5
- 25
- 125
解 説 (a)
本問では、この回路素子がコイルかコンデンサかわかっていません。そのため、まずは相電圧・相電流の位相関係からコイルかコンデンサかを判定し、その後、その大きさを求めます。
問題文より、この回路に加わる電圧と電流は次の(1)式、(2)式の通りです。
![]()
![]()
ここで、(2)式はcosの式になっていますが、(1)式と揃えるためにsinの式に変換します。また、見やすくするために各周波数をω(=1000)[rad/s]とおくと、(2)式は次に示す(3)式のようになります。

よって、(1)式の電圧と(3)式の電流を比べると、電流は電圧よりもπ/2(90°)だけ遅れている形となっていることがわかります。これは、回路素子がコイルを表しています(もしコンデンサなら電流が電圧よりも90°進むはずです)。
これで答えが(4)「L=10mH」か(5)「L=100mH」に絞られました。続いて、(4)と(5)のどちらが正しいかを考えていきます。
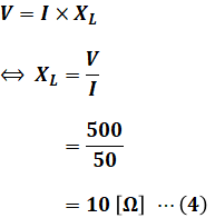
この回路には電源とコイルしかないので、コイルのリアクタンスXL[Ω]は、次の(4)式によって求めることができます。

よって、コイルのインダクタンスL[H]は次の(5)式のように算出できます。これが問われている「回路素子の値」となります。

以上から、正解は(4)です。
解 説 (b)
設問(b)は設問(a)を間違えると正解できない一方、(a)が解ければとても簡単なサービス問題です。
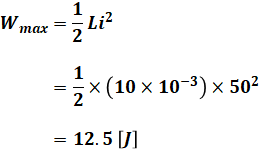
(a)で回路素子がコイルだとわかっているので、問題文で与えられた式「Wmax=1/2 Li2[J]」を使えば、求めたいエネルギーWmax[J]を計算することができます。

よって、正解は(3)となります。

コメント