問 題
あるかご形三相誘導電動機を定格電圧でY-Δ始動したところ、始動トルクは60N・mであった。また、Δ結線での全電圧始動時(定格電圧)の始動トルクは定格運転時の240%である。
この電動機の定格運転時のトルクの値[N・m]として、最も近いものを次の(1)~(5)のうちから一つ選べ。
- 20
- 25
- 35
- 43
- 75
解 説
目的である「定格運転時のトルク」を求めるために、まずは試験対策としてぜひ覚えておくべき重要事項を示します。
かご形誘導電動機において、 Y-Δ 始動時の始動トルクと始動電流は、いずれも全電圧始動(Δ結線での始動)の 1/3 になります。
この性質を使えば、この設問の計算はシンプルな 2 ステップで完了します。この解説の最後では 1/3 になる理由についても補足しますが、まずは上記を前提とした解法を示します。
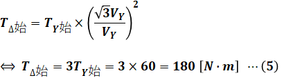
問題文より、 Y-Δ 始動時の始動トルク TY は 60 [N・m] です。前述の性質から、全電圧始動時の始動トルク TΔ [N・m] はその 3 倍になるため、次のように計算できます。
\( \begin{aligned} T_{\Delta} &= 3 \times T_{Y} \\[12pt] &= 3 \times 60 \\[12pt] &= 180 \text{ [N・m]} \end{aligned} \)
一方で、問題文より全電圧始動時の始動トルク TΔ は、定格運転時のトルク Tn [N・m] の 240% であると与えられています。そのため、Tn を求めるには TΔ を 2.4 で割ればよいことになります。
\( \begin{aligned} T_{n} &= \frac{T_{\Delta}}{2.4} \\[12pt] &= \frac{180}{2.4} \\[12pt] &= 75 \text{ [N・m]} \end{aligned} \)
以上から、正解は(5)です。
(補足:なぜトルクが 1/3 になるのか?)
誘導電動機のトルクは、電源電圧の 2 乗に比例するという性質があります。また、 Y-Δ 始動法において、始動時にコイルに加わる相電圧は、Δ結線(全電圧始動)のときの 1/√3 倍になります。
そのため、始動トルクは (1/√3)2 = 1/3 倍となります。この理屈も合わせて知っておくと、試験本番で迷ったときの保険になります。

コメント