問 題
単相2線式及び単相3線式の線路での電力損失について、次の問に答えよ。
下図のように、単相100Vの抵抗負荷に単相2線式及び単相3線式の低圧配電方式で送電する。
負荷の総容量は同一であり、3線式の場合、負荷は図のように線間に均等分割されるものとする。単相2線式での線路の抵抗損を1とすると、単相3線式の線路の抵抗損は1/5であった。
このとき、単相2線式での線路の1線当たりの抵抗に対して、単相3線式での線路の1線当たりの抵抗はどのような大きさとなるか。最も近いものを次の(1)~(5)のうちから一つ選べ。

- 0.27倍
- 0.4倍
- 0.53倍
- 0.8倍
- 1.25倍
正解 (4)
解 説
まず、単相2線式と単相3線式の回路図を以下に示します。
【単相2線式】

【単相3線式】

上図から、単相2線式を流れる電流I[A]と単相3線式を流れる電流I'[A]の関係は次のようになります。

また、単相2線式は線路が2本なので、線路損失Ploss[W]は次に示す(2)式で表すことができます。
![]()
一方、単相3線式の線路損失P’loss[W]は次に示す(3)式で表すことができます。3線式であっても中性線には電流が流れてないので、損失は2線分である点に注意してください。
![]()
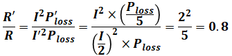
問われているのは、単相2線式での線路の1線当たりの抵抗R[Ω]に対する単相3線式での線路の1線当たりの抵抗R’の値(=R’/R)なので、この比に(2)式と(3)式を代入すると、次の(4)式のようになります。

ここで、(1)式よりI:I’=2:1であり、問題文よりPloss:P’loss=5:1です。よって、(4)式は以下のように計算を進められ、求める答えを算出することができます。

よって、正解は(4)となります。

コメント