問 題
送電線のフェランチ現象に関する問である。三相3線式1回線送電線の一相が図のπ形等価回路で表され、送電線路のインピーダンスjX=j200Ω、アドミタンスjB=j0.800mSとし、送電端の線間電圧が66.0kVであり、受電端が無負荷のとき、次の(a)及び(b)の問に答えよ。

(a) 受電端の線間電圧の値[kV]として、最も近いものを次の(1)~(5)のうちから一つ選べ。
- 66.0
- 71.7
- 78.6
- 114
- 132
(b) 1線当たりの送電端電流の値[A]として、最も近いものを次の(1)~(5)のうちから一つ選べ。
- 15.2
- 16.6
- 28.7
- 31.8
- 55.1
解 説
(a)を解く前に、まず確認しておきたいのが、アドミタンスY[S](単位:ジーメンス)とは、インピーダンスZ[Ω]の逆数です。たとえば、電流I[A]は、電圧E[V]とインピーダンスZ[Ω]から求めることができる一方、アドミタンスY[S]を使うこともできます。
![]()
そのため、アドミタンスで表すことのできる式は全てインピーダンスで表すことができますが、インピーダンスを使うと分数の計算が煩雑になりそうな場合など、アドミタンスを使ったほうが便利なこともあります。
以上を踏まえて、問題の解説を始めます。
(a)
問題文で与えられている数値を図に記入していくと、下図のような感じになります。

上図より、送電端と受電端の間にはインピーダンスjXがあり、そこを流れる電流をIrとすると、送電端の相電圧Esと受電端の相電圧Erの間には以下の関係式が成り立ちます。
![]()
一方、受電端に注目すると、相電圧Er、電流Ir、アドミタンスjB/2に対してオームの法則を適用させることで、次の式が成り立ちます。解説の冒頭で示した通り、アドミタンスはインピーダンスの逆数なので、電圧とアドミタンスの積が電流となります。
![]()
(1)式と(2)式のパラメータのうち、Es、X、Bは既知の値なので、(2)式を(1)式に代入すると、相電圧Erを計算することができます。

このあとの計算を踏まえて上式は計算途中で止めていますが、この段階で最後まで計算しても構いません。このあたりの処理の仕方は好みの問題ですし、どのようにやっても大した時間的ロスにはならないと思うので、あまり気にしなくて大丈夫です。
ここで、問題で与えられている図は三相3線式1回線送電線の1相分の等価回路です。上記で求めたErは1相分の受電端相電圧ですが、問われているのは受電端の線間電圧です。よって、Erを√3倍したものが答えとなります。

以上から、正解は(2)です。
(b)
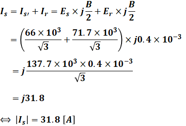
まずは(a)の解説の冒頭に載せた図を再度示します。

上図の通り、送電端電流Isは、受電端側のアドミタンスを流れる電流Irと送電端側のアドミタンスを流れる電流Is’の和となります。
ここで、Irは(a)で計算したように電圧ErとアドミタンスjB/2の積で表すことができ、Is’も同様に電圧EsとアドミタンスjB/2の積で表すことができます。
よって、以下のように計算することで、送電端電流Isを求めることができます。

以上から、正解は(4)となります。

コメント