問 題
流体の基礎に関する次の文章の( )内に入る語句の組合せとして、正しいものはどれか。
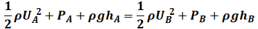
流管の二つの断面A、B間における流れの力学的エネルギーの保存を仮定すると以下の式が得られる。
![]()
この式は、ベルヌーイの定理と呼ばれ、各辺の第一項を( ア )、第二項を( イ )、第三項を位置圧と呼ぶ。なお、実際の流れでは、( ウ )が生じることから、左辺と右辺には差異が生じる。
ただし、ρ:密度、U:速度、P:圧力、g:重力加速度、h:高さ。
- ア イ ウ
- 動圧 絶対圧 圧力損失
- 動圧 静圧 圧力損失
- 動圧 静圧 圧力水頭
- 静圧 動圧 圧力損失
- 静圧 絶対圧 圧力水頭
正解 (2)
解 説
流体力学におけるエネルギー保存の法則はベルヌーイの定理と呼ばれ、以下の式で表されます。
![]()
- ρ:密度
- U:速度
- P:圧力
- g:重力加速度
- h:高さ
この式の各項の単位は[Pa]で、第1項を動圧、第2項を静圧、第3項を位置圧と呼び、摩擦のない理想流体の流れではその合計値が一定となります。ただし、実際の流れでは摩擦による圧力損失があるため、現実的には厳密に一定とはなりません。
ちなみに、この式を力学的エネルギー保存の法則と対比させると、第1項が運動エネルギー、第2項が仕事、第3項が位置エネルギーに対応するので、力学的エネルギー保存の法則を知っていればベルヌーイの定理も覚えやすいと思います。
以上から、
- ア:動圧
- イ:静圧
- ウ:圧力損失
となるので、正解は(2)です。

コメント